

— Knowledge —
— PRODUCTS —
Service Hotline +8613974960765 Email:susie@hnljpump.com
Mobile:+8618507312158
TEL:+8613974960765
vertical turbine pump
发布时间:2021/1/15 11:55:54 人气: [content:visits]
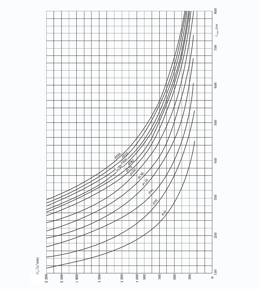
Maximum bearing span and critical speed curves of vertical long-axis pumps: HLB, HLBK, HLKT, HLBS, HLKS, etc., vertical long-axis pumps, long-axis oblique flow pumps, vertical oblique flow pumps, maximum bearing span and critical speed curves, for reference only, subject to the actual object!

Previous:Technical Requirements for Assembly of Vertical Long Shaft Pump
Next:Minimum submergence depth curve of vertical long-axis pump
相关推荐
screenshots ,WeChat Scan the Qr Code
WeChat:ljpump6666